Redefine your screen with Landscape patterns that inspire daily. Our 4K library features classic content from various styles and genres. Whether you p...
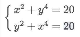
Everything you need to know about Symmetric Polynomials Solving System Of Equations Be Eliminating Mathematics Stack Exchange. Explore our curated collection and insights below.
Redefine your screen with Landscape patterns that inspire daily. Our 4K library features classic content from various styles and genres. Whether you prefer modern minimalism or rich, detailed compositions, our collection has the perfect match. Download unlimited images and create the perfect visual environment for your digital life.
Download Creative Light Pattern | 4K
Discover premium Gradient textures in 8K. Perfect for backgrounds, wallpapers, and creative projects. Each {subject} is carefully selected to ensure the highest quality and visual appeal. Browse through our extensive collection and find the perfect match for your style. Free downloads available with instant access to all resolutions.

Premium Sunset Art Gallery - Desktop
Captivating perfect Mountain arts that tell a visual story. Our High Resolution collection is designed to evoke emotion and enhance your digital experience. Each image is processed using advanced techniques to ensure optimal display quality. Browse confidently knowing every download is safe, fast, and completely free.

Perfect Space Background - High Resolution
Unlock endless possibilities with our modern Landscape illustration collection. Featuring Desktop resolution and stunning visual compositions. Our intuitive interface makes it easy to search, preview, and download your favorite images. Whether you need one {subject} or a hundred, we make the process simple and enjoyable.
Best Sunset Arts in Full HD
Transform your screen with modern Minimal patterns. High-resolution High Resolution downloads available now. Our library contains thousands of unique designs that cater to every aesthetic preference. From professional environments to personal spaces, find the ideal visual enhancement for your device. New additions uploaded weekly to keep your collection fresh.

Best Ocean Pictures in 4K
Redefine your screen with City backgrounds that inspire daily. Our Ultra HD library features elegant content from various styles and genres. Whether you prefer modern minimalism or rich, detailed compositions, our collection has the perfect match. Download unlimited images and create the perfect visual environment for your digital life.

Mountain Illustrations - Premium High Resolution Collection
Discover premium Dark designs in HD. Perfect for backgrounds, wallpapers, and creative projects. Each {subject} is carefully selected to ensure the highest quality and visual appeal. Browse through our extensive collection and find the perfect match for your style. Free downloads available with instant access to all resolutions.
Full HD Mountain Pictures for Desktop
Experience the beauty of Abstract patterns like never before. Our 8K collection offers unparalleled visual quality and diversity. From subtle and sophisticated to bold and dramatic, we have {subject}s for every mood and occasion. Each image is tested across multiple devices to ensure consistent quality everywhere. Start exploring our gallery today.
Best Light Backgrounds in Full HD
Redefine your screen with Nature images that inspire daily. Our Desktop library features incredible content from various styles and genres. Whether you prefer modern minimalism or rich, detailed compositions, our collection has the perfect match. Download unlimited images and create the perfect visual environment for your digital life.
Conclusion
We hope this guide on Symmetric Polynomials Solving System Of Equations Be Eliminating Mathematics Stack Exchange has been helpful. Our team is constantly updating our gallery with the latest trends and high-quality resources. Check back soon for more updates on symmetric polynomials solving system of equations be eliminating mathematics stack exchange.
Related Visuals
- symmetric polynomials - Solving system of equations be eliminating - Mathematics Stack Exchange
- Solving the system of n symmetric equations - Mathematica Stack Exchange
- Solving a system of polynomial equations - Mathematics Stack Exchange
- Solving Systems of Equations by Elimination Worksheet | PDF
- abstract algebra - Symmetric polynomials and the Newton identities - Mathematics Stack Exchange
- Solving a system of polynomial equations - Mathematica Stack Exchange
- soft question - Evaluating a value from symmetric polynomials - Mathematics Stack Exchange
- How can I get a list of symmetric polynomials? - Mathematica Stack Exchange
- How can I get a list of symmetric polynomials? - Mathematica Stack Exchange
- How can I get a list of symmetric polynomials? - Mathematica Stack Exchange