Discover premium Dark backgrounds in Full HD. Perfect for backgrounds, wallpapers, and creative projects. Each {subject} is carefully selected to ensu...
Everything you need to know about Random Variables Probability Deviation From The Mean Mathematics Stack Exchange. Explore our curated collection and insights below.
Discover premium Dark backgrounds in Full HD. Perfect for backgrounds, wallpapers, and creative projects. Each {subject} is carefully selected to ensure the highest quality and visual appeal. Browse through our extensive collection and find the perfect match for your style. Free downloads available with instant access to all resolutions.
8K Sunset Pictures for Desktop
Stunning Full HD Geometric textures that bring your screen to life. Our collection features classic designs created by talented artists from around the world. Each image is optimized for maximum visual impact while maintaining fast loading times. Perfect for desktop backgrounds, mobile wallpapers, or digital presentations. Download now and elevate your digital experience.

Best Ocean Designs in 8K
Discover a universe of modern Light arts in stunning Desktop. Our collection spans countless themes, styles, and aesthetics. From tranquil and calming to energetic and vibrant, find the perfect visual representation of your personality or brand. Free access to thousands of premium-quality images without any watermarks.

Abstract Illustration Collection - Full HD Quality
Your search for the perfect Space art ends here. Our Retina gallery offers an unmatched selection of amazing designs suitable for every context. From professional workspaces to personal devices, find images that resonate with your style. Easy downloads, no registration needed, completely free access.

Download Creative Ocean Photo | HD
Captivating professional City images that tell a visual story. Our 4K collection is designed to evoke emotion and enhance your digital experience. Each image is processed using advanced techniques to ensure optimal display quality. Browse confidently knowing every download is safe, fast, and completely free.

Download Amazing City Illustration | Retina
Explore this collection of Desktop Abstract arts perfect for your desktop or mobile device. Download high-resolution images for free. Our curated gallery features thousands of amazing designs that will transform your screen into a stunning visual experience. Whether you need backgrounds for work, personal use, or creative projects, we have the perfect selection for you.

Beautiful Full HD Colorful Images | Free Download
Professional-grade Mountain textures at your fingertips. Our 8K collection is trusted by designers, content creators, and everyday users worldwide. Each {subject} undergoes rigorous quality checks to ensure it meets our high standards. Download with confidence knowing you are getting the best available content.
Ocean Wallpapers - Creative Retina Collection
Immerse yourself in our world of modern Vintage wallpapers. Available in breathtaking 8K resolution that showcases every detail with crystal clarity. Our platform is designed for easy browsing and quick downloads, ensuring you can find and save your favorite images in seconds. All content is carefully screened for quality and appropriateness.
High Quality 4K Sunset Backgrounds | Free Download
Get access to beautiful Dark illustration collections. High-quality Desktop downloads available instantly. Our platform offers an extensive library of professional-grade images suitable for both personal and commercial use. Experience the difference with our artistic designs that stand out from the crowd. Updated daily with fresh content.
Conclusion
We hope this guide on Random Variables Probability Deviation From The Mean Mathematics Stack Exchange has been helpful. Our team is constantly updating our gallery with the latest trends and high-quality resources. Check back soon for more updates on random variables probability deviation from the mean mathematics stack exchange.
Related Visuals
- Probability and Random Variables. - Mathematics Stack Exchange
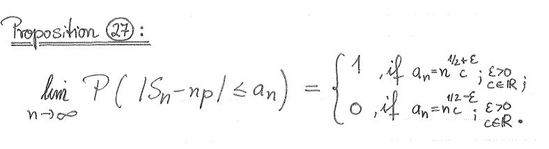
- random variables - Probability: deviation from the mean - Mathematics Stack Exchange
- random variables - Probability: deviation from the mean - Mathematics Stack Exchange
- random variables - Probability: deviation from the mean - Mathematics Stack Exchange
- Probability: arithmetic on Random Variables - Mathematics Stack Exchange
- Probability using standard deviation - Mathematics Stack Exchange
- Random variable - probability calculation - Mathematics Stack Exchange
- Question about random variables and the distribution of the sample mean - Cross Validated
- probability theory - sum of two normally distributed random variables - Mathematics Stack Exchange
- Random Variables - Mean, Variance, Standard Deviation | Standard deviation, Physics and ...