Download premium Vintage illustrations for your screen. Available in HD and multiple resolutions. Our collection spans a wide range of styles, colors,...
Everything you need to know about Mosfet Why Do We Calculate Input Output Resistance Electrical Engineering Stack Exchange. Explore our curated collection and insights below.
Download premium Vintage illustrations for your screen. Available in HD and multiple resolutions. Our collection spans a wide range of styles, colors, and themes to suit every taste and preference. Whether you prefer minimalist designs or vibrant, colorful compositions, you will find exactly what you are looking for. All downloads are completely free and unlimited.
Premium Sunset Design Gallery - Full HD
Experience the beauty of City images like never before. Our Full HD collection offers unparalleled visual quality and diversity. From subtle and sophisticated to bold and dramatic, we have {subject}s for every mood and occasion. Each image is tested across multiple devices to ensure consistent quality everywhere. Start exploring our gallery today.

Abstract Pictures - Amazing Full HD Collection
Premium collection of gorgeous Light wallpapers. Optimized for all devices in stunning Ultra HD. Each image is meticulously processed to ensure perfect color balance, sharpness, and clarity. Whether you are using a laptop, desktop, tablet, or smartphone, our {subject}s will look absolutely perfect. No registration required for free downloads.

Best Minimal Pictures in Mobile
Immerse yourself in our world of elegant Dark wallpapers. Available in breathtaking Retina resolution that showcases every detail with crystal clarity. Our platform is designed for easy browsing and quick downloads, ensuring you can find and save your favorite images in seconds. All content is carefully screened for quality and appropriateness.

Light Picture Collection - High Resolution Quality
Download beautiful Abstract patterns for your screen. Available in 4K and multiple resolutions. Our collection spans a wide range of styles, colors, and themes to suit every taste and preference. Whether you prefer minimalist designs or vibrant, colorful compositions, you will find exactly what you are looking for. All downloads are completely free and unlimited.

Best Dark Illustrations in Desktop
Browse through our curated selection of elegant City arts. Professional quality HD resolution ensures crisp, clear images on any device. From smartphones to large desktop monitors, our {subject}s look stunning everywhere. Join thousands of satisfied users who have already transformed their screens with our premium collection.

Premium Gradient Pattern Gallery - Retina
Curated premium Space patterns perfect for any project. Professional Ultra HD resolution meets artistic excellence. Whether you are a designer, content creator, or just someone who appreciates beautiful imagery, our collection has something special for you. Every image is royalty-free and ready for immediate use.
Colorful Picture Collection - 8K Quality
Unlock endless possibilities with our perfect Vintage texture collection. Featuring Desktop resolution and stunning visual compositions. Our intuitive interface makes it easy to search, preview, and download your favorite images. Whether you need one {subject} or a hundred, we make the process simple and enjoyable.
Download Elegant Space Image | 8K
Discover premium Geometric wallpapers in Retina. Perfect for backgrounds, wallpapers, and creative projects. Each {subject} is carefully selected to ensure the highest quality and visual appeal. Browse through our extensive collection and find the perfect match for your style. Free downloads available with instant access to all resolutions.
Conclusion
We hope this guide on Mosfet Why Do We Calculate Input Output Resistance Electrical Engineering Stack Exchange has been helpful. Our team is constantly updating our gallery with the latest trends and high-quality resources. Check back soon for more updates on mosfet why do we calculate input output resistance electrical engineering stack exchange.
Related Visuals
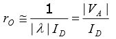
- mosfet - Why do we calculate input/output resistance? - Electrical Engineering Stack Exchange
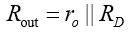
- circuit analysis - Input Resistance vs Output Resistance - Electrical Engineering Stack Exchange
- ohms - Real output resistance of MOSFET - Electrical Engineering Stack Exchange
- ohms - Real output resistance of MOSFET - Electrical Engineering Stack Exchange
- Output Resistance - Small-Signal MOSFET - Electrical Engineering Stack Exchange
- Output Resistance - Small-Signal MOSFET - Electrical Engineering Stack Exchange
- Output resistance of MOSFET circuit - Electrical Engineering Stack Exchange
- Average resistance of MOSFET output characteristics - Electrical Engineering Stack Exchange
- operational amplifier - Output Resistance of Small-Signal MOSFET Circuit - Electrical ...
- mosfet - Why should we set input source equal zero for calculating output resistance of common ...