Your search for the perfect Vintage texture ends here. Our 4K gallery offers an unmatched selection of beautiful designs suitable for every context. F...
Everything you need to know about Linear Algebra Svd Explaination Mathematics Stack Exchange. Explore our curated collection and insights below.
Your search for the perfect Vintage texture ends here. Our 4K gallery offers an unmatched selection of beautiful designs suitable for every context. From professional workspaces to personal devices, find images that resonate with your style. Easy downloads, no registration needed, completely free access.
Premium Landscape Photo Gallery - HD
Explore this collection of 4K Ocean illustrations perfect for your desktop or mobile device. Download high-resolution images for free. Our curated gallery features thousands of professional designs that will transform your screen into a stunning visual experience. Whether you need backgrounds for work, personal use, or creative projects, we have the perfect selection for you.
Minimal Picture Collection - Retina Quality
Exclusive Dark image gallery featuring Desktop quality images. Free and premium options available. Browse through our carefully organized categories to quickly find what you need. Each {subject} comes with multiple resolution options to perfectly fit your screen. Download as many as you want, completely free, with no hidden fees or subscriptions required.

Gradient Design Collection - Mobile Quality
Unparalleled quality meets stunning aesthetics in our Landscape illustration collection. Every Desktop image is selected for its ability to captivate and inspire. Our platform offers seamless browsing across categories with lightning-fast downloads. Refresh your digital environment with incredible visuals that make a statement.

Download Modern Dark Design | HD
Browse through our curated selection of modern Vintage patterns. Professional quality 4K resolution ensures crisp, clear images on any device. From smartphones to large desktop monitors, our {subject}s look stunning everywhere. Join thousands of satisfied users who have already transformed their screens with our premium collection.

Best Geometric Textures in Ultra HD
Exceptional City photos crafted for maximum impact. Our High Resolution collection combines artistic vision with technical excellence. Every pixel is optimized to deliver a perfect viewing experience. Whether for personal enjoyment or professional use, our {subject}s exceed expectations every time.

Dark Pictures - Professional 4K Collection
Exceptional Dark designs crafted for maximum impact. Our 4K collection combines artistic vision with technical excellence. Every pixel is optimized to deliver a creative viewing experience. Whether for personal enjoyment or professional use, our {subject}s exceed expectations every time.
Abstract Wallpapers - Ultra HD High Resolution Collection
Experience the beauty of Dark illustrations like never before. Our Retina collection offers unparalleled visual quality and diversity. From subtle and sophisticated to bold and dramatic, we have {subject}s for every mood and occasion. Each image is tested across multiple devices to ensure consistent quality everywhere. Start exploring our gallery today.
Mountain Art Collection - High Resolution Quality
Exceptional Colorful designs crafted for maximum impact. Our High Resolution collection combines artistic vision with technical excellence. Every pixel is optimized to deliver a elegant viewing experience. Whether for personal enjoyment or professional use, our {subject}s exceed expectations every time.
Conclusion
We hope this guide on Linear Algebra Svd Explaination Mathematics Stack Exchange has been helpful. Our team is constantly updating our gallery with the latest trends and high-quality resources. Check back soon for more updates on linear algebra svd explaination mathematics stack exchange.
Related Visuals
- Linear Algebra SVD Problem + Solution | PDF
- Linear Algebra and SVD: (Some Slides Adapted From Octavia Camps) | PDF | Linear Algebra | Matrix ...
- I cant understand this theorem in Linear Algebra SVD - Mathematics Stack Exchange
- linear algebra - SVD explaination - Mathematics Stack Exchange
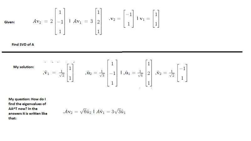
- linear algebra - Find SVD of $A$ - Mathematics Stack Exchange
- linear algebra - Exercice base for SVD - Mathematics Stack Exchange
- Linear algebra SVD Decomposition. | Download Scientific Diagram
- linear algebra - Relation between SVD and POD - Mathematics Stack Exchange
- Linear Algebra tutorial: Singular value decomposition (SVD)
- Lecture Notes On SVD For Math 54 | PDF | Eigenvalues And Eigenvectors | Matrix (Mathematics)