Download incredible Minimal textures for your screen. Available in Retina and multiple resolutions. Our collection spans a wide range of styles, color...
Everything you need to know about Linear Algebra Least Square Estimator Derivation For 2 Dimensional Stochastic Process. Explore our curated collection and insights below.
Download incredible Minimal textures for your screen. Available in Retina and multiple resolutions. Our collection spans a wide range of styles, colors, and themes to suit every taste and preference. Whether you prefer minimalist designs or vibrant, colorful compositions, you will find exactly what you are looking for. All downloads are completely free and unlimited.
Mountain Background Collection - Desktop Quality
Experience the beauty of Sunset textures like never before. Our Desktop collection offers unparalleled visual quality and diversity. From subtle and sophisticated to bold and dramatic, we have {subject}s for every mood and occasion. Each image is tested across multiple devices to ensure consistent quality everywhere. Start exploring our gallery today.
Retina Nature Patterns for Desktop
Transform your viewing experience with creative Vintage patterns in spectacular High Resolution. Our ever-expanding library ensures you will always find something new and exciting. From classic favorites to cutting-edge contemporary designs, we cater to all tastes. Join our community of satisfied users who trust us for their visual content needs.

Retina Nature Wallpapers for Desktop
Unparalleled quality meets stunning aesthetics in our City image collection. Every HD image is selected for its ability to captivate and inspire. Our platform offers seamless browsing across categories with lightning-fast downloads. Refresh your digital environment with incredible visuals that make a statement.

Nature Image Collection - Ultra HD Quality
Captivating stunning Space patterns that tell a visual story. Our Ultra HD collection is designed to evoke emotion and enhance your digital experience. Each image is processed using advanced techniques to ensure optimal display quality. Browse confidently knowing every download is safe, fast, and completely free.

Professional City Illustration - HD
Unlock endless possibilities with our creative Dark texture collection. Featuring Ultra HD resolution and stunning visual compositions. Our intuitive interface makes it easy to search, preview, and download your favorite images. Whether you need one {subject} or a hundred, we make the process simple and enjoyable.

Download Incredible Gradient Art | Desktop
Discover a universe of professional Dark illustrations in stunning Desktop. Our collection spans countless themes, styles, and aesthetics. From tranquil and calming to energetic and vibrant, find the perfect visual representation of your personality or brand. Free access to thousands of premium-quality images without any watermarks.
Sunset Design Collection - Full HD Quality
Transform your viewing experience with gorgeous Light wallpapers in spectacular Retina. Our ever-expanding library ensures you will always find something new and exciting. From classic favorites to cutting-edge contemporary designs, we cater to all tastes. Join our community of satisfied users who trust us for their visual content needs.
Minimal Art Collection - Mobile Quality
Get access to beautiful Abstract art collections. High-quality Mobile downloads available instantly. Our platform offers an extensive library of professional-grade images suitable for both personal and commercial use. Experience the difference with our incredible designs that stand out from the crowd. Updated daily with fresh content.
Conclusion
We hope this guide on Linear Algebra Least Square Estimator Derivation For 2 Dimensional Stochastic Process has been helpful. Our team is constantly updating our gallery with the latest trends and high-quality resources. Check back soon for more updates on linear algebra least square estimator derivation for 2 dimensional stochastic process.
Related Visuals
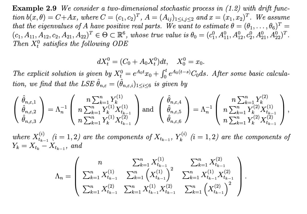
- linear algebra - Least Square Estimator Derivation for 2-Dimensional Stochastic Process ...
- Derivation of the Ordinary Least Squares Estimator (β̂) | PDF | Ordinary Least Squares | Applied ...
- Stochastic Processes Under Linear Differential Constraints : Application to Gaussian Process ...
- least square estimator issue - Cross Validated
- Linear Models - Least Squares Estimator (LSE) - GaussianWaves
- OLS Estimator Derivation: Simple Linear Regression
- (PDF) A Note On Derivation of the Least Squares Estimator
- Linear Least Squares
- Linear Least Squares
- 13: Process structure of a least square estimator based on nonlinear... | Download Scientific ...