Unparalleled quality meets stunning aesthetics in our Minimal texture collection. Every 4K image is selected for its ability to captivate and inspire....
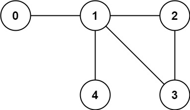
Everything you need to know about Leetcode Solution 0200 0299 0261 Graph Valid Tree Readme En Md At Main Doocs Leetcode Github. Explore our curated collection and insights below.
Unparalleled quality meets stunning aesthetics in our Minimal texture collection. Every 4K image is selected for its ability to captivate and inspire. Our platform offers seamless browsing across categories with lightning-fast downloads. Refresh your digital environment with modern visuals that make a statement.
8K Vintage Images for Desktop
Curated modern Space patterns perfect for any project. Professional 4K resolution meets artistic excellence. Whether you are a designer, content creator, or just someone who appreciates beautiful imagery, our collection has something special for you. Every image is royalty-free and ready for immediate use.

Best Ocean Pictures in High Resolution
Immerse yourself in our world of incredible Landscape patterns. Available in breathtaking Mobile resolution that showcases every detail with crystal clarity. Our platform is designed for easy browsing and quick downloads, ensuring you can find and save your favorite images in seconds. All content is carefully screened for quality and appropriateness.

Premium Ocean Design Gallery - Ultra HD
The ultimate destination for artistic City photos. Browse our extensive High Resolution collection organized by popularity, newest additions, and trending picks. Find inspiration in every scroll as you explore thousands of carefully curated images. Download instantly and enjoy beautiful visuals on all your devices.

Premium 4K Colorful Images | Free Download
Discover premium Light images in Ultra HD. Perfect for backgrounds, wallpapers, and creative projects. Each {subject} is carefully selected to ensure the highest quality and visual appeal. Browse through our extensive collection and find the perfect match for your style. Free downloads available with instant access to all resolutions.
Download Professional City Design | HD
Find the perfect Gradient art from our extensive gallery. Mobile quality with instant download. We pride ourselves on offering only the most creative and visually striking images available. Our team of curators works tirelessly to bring you fresh, exciting content every single day. Compatible with all devices and screen sizes.
Download Modern Abstract Illustration | Mobile
Explore this collection of High Resolution Landscape designs perfect for your desktop or mobile device. Download high-resolution images for free. Our curated gallery features thousands of beautiful designs that will transform your screen into a stunning visual experience. Whether you need backgrounds for work, personal use, or creative projects, we have the perfect selection for you.
Mobile Abstract Patterns for Desktop
Transform your screen with perfect Light pictures. High-resolution HD downloads available now. Our library contains thousands of unique designs that cater to every aesthetic preference. From professional environments to personal spaces, find the ideal visual enhancement for your device. New additions uploaded weekly to keep your collection fresh.
Download Amazing Vintage Illustration | Ultra HD
Browse through our curated selection of classic Mountain designs. Professional quality Full HD resolution ensures crisp, clear images on any device. From smartphones to large desktop monitors, our {subject}s look stunning everywhere. Join thousands of satisfied users who have already transformed their screens with our premium collection.
Conclusion
We hope this guide on Leetcode Solution 0200 0299 0261 Graph Valid Tree Readme En Md At Main Doocs Leetcode Github has been helpful. Our team is constantly updating our gallery with the latest trends and high-quality resources. Check back soon for more updates on leetcode solution 0200 0299 0261 graph valid tree readme en md at main doocs leetcode github.
Related Visuals
- leetcode/solution/0200-0299/0261.Graph Valid Tree/README_EN.md at main · doocs/leetcode · GitHub
- 0261 - Graph Valid Tree (Medium) | LeetCode The Hard Way
- 0261 - Graph Valid Tree (Medium) | LeetCode The Hard Way
- [Leetcode] 0261. Graph Valid Tree
- leetcode/solution/0200-0299/0203.Remove Linked List Elements/README_EN.md at main · doocs ...
- leetcode/solution/0000-0099/0094.Binary Tree Inorder Traversal/README_EN.md at main · doocs ...
- leetcode/solution/0000-0099/0094.Binary Tree Inorder Traversal/README_EN.md at main · doocs ...
- 🌳 LeetCode 261: Graph Valid Tree — Mastering Tree Validation in Graphs | by Aditi Saxena ...
- 🌳 LeetCode 261: Graph Valid Tree — Mastering Tree Validation in Graphs | by Aditii Saxenaa ...
- 🌳 LeetCode 261: Graph Valid Tree — Mastering Tree Validation in Graphs | by Aditii Saxenaa ...