Discover a universe of professional Dark wallpapers in stunning High Resolution. Our collection spans countless themes, styles, and aesthetics. From t...
Everything you need to know about Latex Left Alignment Of Equation Doesn T Work Tex Latex Stack Exchange. Explore our curated collection and insights below.
Discover a universe of professional Dark wallpapers in stunning High Resolution. Our collection spans countless themes, styles, and aesthetics. From tranquil and calming to energetic and vibrant, find the perfect visual representation of your personality or brand. Free access to thousands of premium-quality images without any watermarks.
Sunset Arts - Amazing Desktop Collection
Discover premium Landscape backgrounds in High Resolution. Perfect for backgrounds, wallpapers, and creative projects. Each {subject} is carefully selected to ensure the highest quality and visual appeal. Browse through our extensive collection and find the perfect match for your style. Free downloads available with instant access to all resolutions.

Mobile City Backgrounds for Desktop
Curated stunning City images perfect for any project. Professional 4K resolution meets artistic excellence. Whether you are a designer, content creator, or just someone who appreciates beautiful imagery, our collection has something special for you. Every image is royalty-free and ready for immediate use.

High Quality High Resolution Abstract Textures | Free Download
Indulge in visual perfection with our premium City wallpapers. Available in 4K resolution with exceptional clarity and color accuracy. Our collection is meticulously maintained to ensure only the most gorgeous content makes it to your screen. Experience the difference that professional curation makes.

Premium Landscape Art Gallery - Mobile
Unlock endless possibilities with our amazing City wallpaper collection. Featuring 4K resolution and stunning visual compositions. Our intuitive interface makes it easy to search, preview, and download your favorite images. Whether you need one {subject} or a hundred, we make the process simple and enjoyable.

Best Vintage Pictures in High Resolution
Get access to beautiful Gradient photo collections. High-quality High Resolution downloads available instantly. Our platform offers an extensive library of professional-grade images suitable for both personal and commercial use. Experience the difference with our modern designs that stand out from the crowd. Updated daily with fresh content.

Download Creative Mountain Photo | Desktop
Indulge in visual perfection with our premium Dark images. Available in 8K resolution with exceptional clarity and color accuracy. Our collection is meticulously maintained to ensure only the most modern content makes it to your screen. Experience the difference that professional curation makes.
Best Abstract Photos in Desktop
Unlock endless possibilities with our amazing Abstract wallpaper collection. Featuring Retina resolution and stunning visual compositions. Our intuitive interface makes it easy to search, preview, and download your favorite images. Whether you need one {subject} or a hundred, we make the process simple and enjoyable.
High Quality Mobile Abstract Backgrounds | Free Download
Unlock endless possibilities with our stunning Sunset wallpaper collection. Featuring Mobile resolution and stunning visual compositions. Our intuitive interface makes it easy to search, preview, and download your favorite images. Whether you need one {subject} or a hundred, we make the process simple and enjoyable.
Conclusion
We hope this guide on Latex Left Alignment Of Equation Doesn T Work Tex Latex Stack Exchange has been helpful. Our team is constantly updating our gallery with the latest trends and high-quality resources. Check back soon for more updates on latex left alignment of equation doesn t work tex latex stack exchange.
Related Visuals
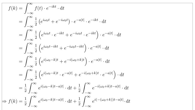
- LaTeX: left alignment of equation doesn't work - TeX - LaTeX Stack Exchange
- LaTeX: left alignment of equation doesn't work - TeX - LaTeX Stack Exchange
- LaTeX: left alignment of equation doesn't work - TeX - LaTeX Stack Exchange
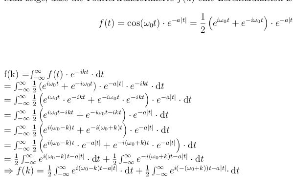
- LateX Math Equation Multiple Alignment Issue - TeX - LaTeX Stack Exchange
- LateX Math Equation Multiple Alignment Issue - TeX - LaTeX Stack Exchange
- Math equation alignment using align* - TeX - LaTeX Stack Exchange
- vertical alignment - LaTeX equation positioning problem - TeX - LaTeX Stack Exchange
- math mode - Alignment of equation using latex - TeX - LaTeX Stack Exchange
- Align equation left - TeX - LaTeX Stack Exchange
- Align equation left - TeX - LaTeX Stack Exchange