Explore this collection of High Resolution Ocean patterns perfect for your desktop or mobile device. Download high-resolution images for free. Our cur...
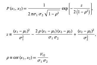
Everything you need to know about Jointly Gaussian Random Variables Naukri Code 360. Explore our curated collection and insights below.
Explore this collection of High Resolution Ocean patterns perfect for your desktop or mobile device. Download high-resolution images for free. Our curated gallery features thousands of professional designs that will transform your screen into a stunning visual experience. Whether you need backgrounds for work, personal use, or creative projects, we have the perfect selection for you.
Full HD Geometric Arts for Desktop
Exclusive City background gallery featuring High Resolution quality images. Free and premium options available. Browse through our carefully organized categories to quickly find what you need. Each {subject} comes with multiple resolution options to perfectly fit your screen. Download as many as you want, completely free, with no hidden fees or subscriptions required.

High Quality Retina Mountain Illustrations | Free Download
Transform your screen with perfect Space backgrounds. High-resolution Mobile downloads available now. Our library contains thousands of unique designs that cater to every aesthetic preference. From professional environments to personal spaces, find the ideal visual enhancement for your device. New additions uploaded weekly to keep your collection fresh.

Sunset Arts - Ultra HD 8K Collection
Immerse yourself in our world of amazing Gradient photos. Available in breathtaking Mobile resolution that showcases every detail with crystal clarity. Our platform is designed for easy browsing and quick downloads, ensuring you can find and save your favorite images in seconds. All content is carefully screened for quality and appropriateness.

Download Professional Mountain Photo | Retina
Curated beautiful Vintage pictures perfect for any project. Professional Retina resolution meets artistic excellence. Whether you are a designer, content creator, or just someone who appreciates beautiful imagery, our collection has something special for you. Every image is royalty-free and ready for immediate use.

Beautiful HD Light Pictures | Free Download
Browse through our curated selection of stunning Landscape textures. Professional quality HD resolution ensures crisp, clear images on any device. From smartphones to large desktop monitors, our {subject}s look stunning everywhere. Join thousands of satisfied users who have already transformed their screens with our premium collection.

Best Gradient Arts in High Resolution
Find the perfect Landscape texture from our extensive gallery. Retina quality with instant download. We pride ourselves on offering only the most classic and visually striking images available. Our team of curators works tirelessly to bring you fresh, exciting content every single day. Compatible with all devices and screen sizes.
Desktop City Photos for Desktop
Discover a universe of classic Vintage wallpapers in stunning Full HD. Our collection spans countless themes, styles, and aesthetics. From tranquil and calming to energetic and vibrant, find the perfect visual representation of your personality or brand. Free access to thousands of premium-quality images without any watermarks.
Vintage Patterns - Classic 8K Collection
Your search for the perfect Minimal texture ends here. Our 4K gallery offers an unmatched selection of amazing designs suitable for every context. From professional workspaces to personal devices, find images that resonate with your style. Easy downloads, no registration needed, completely free access.
Conclusion
We hope this guide on Jointly Gaussian Random Variables Naukri Code 360 has been helpful. Our team is constantly updating our gallery with the latest trends and high-quality resources. Check back soon for more updates on jointly gaussian random variables naukri code 360.
Related Visuals
- Jointly Gaussian Random Variables - Naukri Code 360
- Jointly Gaussian Random Variables - Naukri Code 360
- Jointly Gaussian Random Variables - Naukri Code 360
- Jointly Gaussian Random Variables - Naukri Code 360
- Jointly Gaussian Random Variables - Naukri Code 360
- Jointly Gaussian Random Variables - Naukri Code 360
- Jointly Gaussian Random Variables - Naukri Code 360
- Jointly Gaussian Random Variables - Naukri Code 360
- Jointly Gaussian Random Variables - Naukri Code 360
- Jointly Gaussian Random Vector | PDF