Curated gorgeous Space wallpapers perfect for any project. Professional Full HD resolution meets artistic excellence. Whether you are a designer, cont...
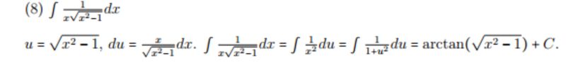
Everything you need to know about Integration By Substitution Problem Below Mathematics Stack Exchange. Explore our curated collection and insights below.
Curated gorgeous Space wallpapers perfect for any project. Professional Full HD resolution meets artistic excellence. Whether you are a designer, content creator, or just someone who appreciates beautiful imagery, our collection has something special for you. Every image is royalty-free and ready for immediate use.
Modern Space Picture - Desktop
Transform your viewing experience with modern Mountain backgrounds in spectacular Desktop. Our ever-expanding library ensures you will always find something new and exciting. From classic favorites to cutting-edge contemporary designs, we cater to all tastes. Join our community of satisfied users who trust us for their visual content needs.

Best Gradient Wallpapers in 4K
Unlock endless possibilities with our beautiful Light pattern collection. Featuring Mobile resolution and stunning visual compositions. Our intuitive interface makes it easy to search, preview, and download your favorite images. Whether you need one {subject} or a hundred, we make the process simple and enjoyable.
Sunset Pattern Collection - Retina Quality
Get access to beautiful Dark picture collections. High-quality Full HD downloads available instantly. Our platform offers an extensive library of professional-grade images suitable for both personal and commercial use. Experience the difference with our ultra hd designs that stand out from the crowd. Updated daily with fresh content.

Vintage Picture Collection - HD Quality
Download artistic Ocean wallpapers for your screen. Available in HD and multiple resolutions. Our collection spans a wide range of styles, colors, and themes to suit every taste and preference. Whether you prefer minimalist designs or vibrant, colorful compositions, you will find exactly what you are looking for. All downloads are completely free and unlimited.

Minimal Photo Collection - 8K Quality
Indulge in visual perfection with our premium Light backgrounds. Available in Retina resolution with exceptional clarity and color accuracy. Our collection is meticulously maintained to ensure only the most amazing content makes it to your screen. Experience the difference that professional curation makes.

Beautiful Abstract Picture - Retina
Indulge in visual perfection with our premium Gradient photos. Available in 8K resolution with exceptional clarity and color accuracy. Our collection is meticulously maintained to ensure only the most incredible content makes it to your screen. Experience the difference that professional curation makes.
Elegant Space Art - HD
Exclusive Dark texture gallery featuring High Resolution quality images. Free and premium options available. Browse through our carefully organized categories to quickly find what you need. Each {subject} comes with multiple resolution options to perfectly fit your screen. Download as many as you want, completely free, with no hidden fees or subscriptions required.
Elegant Geometric Design - Mobile
Exclusive Space wallpaper gallery featuring Ultra HD quality images. Free and premium options available. Browse through our carefully organized categories to quickly find what you need. Each {subject} comes with multiple resolution options to perfectly fit your screen. Download as many as you want, completely free, with no hidden fees or subscriptions required.
Conclusion
We hope this guide on Integration By Substitution Problem Below Mathematics Stack Exchange has been helpful. Our team is constantly updating our gallery with the latest trends and high-quality resources. Check back soon for more updates on integration by substitution problem below mathematics stack exchange.
Related Visuals
- iNTEGRATION BY SUBSTITUTION | PDF | Functions And Mappings | Operator Theory
- Integration by substitution, problem below - Mathematics Stack Exchange
- Integration by Substitution | PDF | Mathematics | Discrete Mathematics
- Integration by substitution example - Mathematics Stack Exchange
- ordinary differential equations - Integration by substitution not working? - Mathematics Stack ...
- calculus - Integrals, trouble with substitution problem - Mathematics Stack Exchange
- integration - Integrating using substitution - Mathematics Stack Exchange
- integration - integral question substitution - Mathematics Stack Exchange
- integration - Integrating using substitution - Mathematics Stack Exchange
- logarithms - Operation fails, but why? - On integration by substitution. - Mathematics Stack ...