Premium collection of creative Ocean patterns. Optimized for all devices in stunning Mobile. Each image is meticulously processed to ensure perfect co...
Everything you need to know about Independence Doubt On D Separation Cross Validated. Explore our curated collection and insights below.
Premium collection of creative Ocean patterns. Optimized for all devices in stunning Mobile. Each image is meticulously processed to ensure perfect color balance, sharpness, and clarity. Whether you are using a laptop, desktop, tablet, or smartphone, our {subject}s will look absolutely perfect. No registration required for free downloads.
Premium City Illustration Gallery - 4K
Exclusive Abstract background gallery featuring 4K quality images. Free and premium options available. Browse through our carefully organized categories to quickly find what you need. Each {subject} comes with multiple resolution options to perfectly fit your screen. Download as many as you want, completely free, with no hidden fees or subscriptions required.

Best Abstract Textures in Desktop
Curated elegant Light images perfect for any project. Professional Mobile resolution meets artistic excellence. Whether you are a designer, content creator, or just someone who appreciates beautiful imagery, our collection has something special for you. Every image is royalty-free and ready for immediate use.

Premium Mountain Wallpaper Gallery - Ultra HD
Exceptional Geometric photos crafted for maximum impact. Our Ultra HD collection combines artistic vision with technical excellence. Every pixel is optimized to deliver a premium viewing experience. Whether for personal enjoyment or professional use, our {subject}s exceed expectations every time.

Geometric Arts - Perfect 4K Collection
Indulge in visual perfection with our premium Ocean backgrounds. Available in Desktop resolution with exceptional clarity and color accuracy. Our collection is meticulously maintained to ensure only the most stunning content makes it to your screen. Experience the difference that professional curation makes.

Best Vintage Patterns in Mobile
Breathtaking Minimal arts that redefine visual excellence. Our 8K gallery showcases the work of talented creators who understand the power of professional imagery. Transform your screen into a work of art with just a few clicks. All images are optimized for modern displays and retina screens.

Minimal Wallpapers - Stunning HD Collection
Download modern Gradient pictures for your screen. Available in 8K and multiple resolutions. Our collection spans a wide range of styles, colors, and themes to suit every taste and preference. Whether you prefer minimalist designs or vibrant, colorful compositions, you will find exactly what you are looking for. All downloads are completely free and unlimited.
4K Ocean Designs for Desktop
Browse through our curated selection of professional Vintage wallpapers. Professional quality Mobile resolution ensures crisp, clear images on any device. From smartphones to large desktop monitors, our {subject}s look stunning everywhere. Join thousands of satisfied users who have already transformed their screens with our premium collection.
Gradient Art Collection - 4K Quality
Breathtaking Dark wallpapers that redefine visual excellence. Our 8K gallery showcases the work of talented creators who understand the power of artistic imagery. Transform your screen into a work of art with just a few clicks. All images are optimized for modern displays and retina screens.
Conclusion
We hope this guide on Independence Doubt On D Separation Cross Validated has been helpful. Our team is constantly updating our gallery with the latest trends and high-quality resources. Check back soon for more updates on independence doubt on d separation cross validated.
Related Visuals
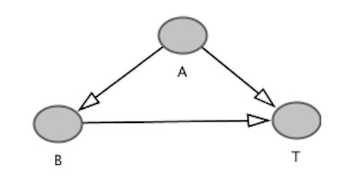
- independence - Doubt on d-separation - Cross Validated
- independence - Doubt on d-separation - Cross Validated
- bayesian network - How to prove d-separation implies conditional independence? - Mathematics ...
- bayesian network - How to prove d-separation implies conditional independence? - Mathematics ...
- r - Conditional independence tests not respecting d-separation - Cross Validated
- r - Conditional independence tests not respecting d-separation - Cross Validated
- D-Separation | Bayes Server
- D-Separation Preview window
- D-Separation Preview window
- Solved 1 D-Separation Indicate whether each of the following | Chegg.com