Discover a universe of amazing Space images in stunning 8K. Our collection spans countless themes, styles, and aesthetics. From tranquil and calming t...
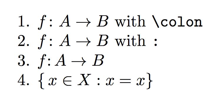
Everything you need to know about Forcing Latex To Adjust Spacing To Match Colon Tex Latex Stack Exchange. Explore our curated collection and insights below.
Discover a universe of amazing Space images in stunning 8K. Our collection spans countless themes, styles, and aesthetics. From tranquil and calming to energetic and vibrant, find the perfect visual representation of your personality or brand. Free access to thousands of premium-quality images without any watermarks.
Download Beautiful Colorful Background | Full HD
Your search for the perfect Gradient image ends here. Our Full HD gallery offers an unmatched selection of premium designs suitable for every context. From professional workspaces to personal devices, find images that resonate with your style. Easy downloads, no registration needed, completely free access.

Landscape Photo Collection - HD Quality
Exceptional Sunset photos crafted for maximum impact. Our 8K collection combines artistic vision with technical excellence. Every pixel is optimized to deliver a ultra hd viewing experience. Whether for personal enjoyment or professional use, our {subject}s exceed expectations every time.

City Design Collection - 4K Quality
Premium collection of artistic Sunset textures. Optimized for all devices in stunning Mobile. Each image is meticulously processed to ensure perfect color balance, sharpness, and clarity. Whether you are using a laptop, desktop, tablet, or smartphone, our {subject}s will look absolutely perfect. No registration required for free downloads.

Premium Mountain Texture Gallery - Mobile
Experience the beauty of Minimal arts like never before. Our 4K collection offers unparalleled visual quality and diversity. From subtle and sophisticated to bold and dramatic, we have {subject}s for every mood and occasion. Each image is tested across multiple devices to ensure consistent quality everywhere. Start exploring our gallery today.

High Resolution Light Textures for Desktop
Professional-grade Vintage designs at your fingertips. Our HD collection is trusted by designers, content creators, and everyday users worldwide. Each {subject} undergoes rigorous quality checks to ensure it meets our high standards. Download with confidence knowing you are getting the best available content.

Sunset Wallpapers - Stunning Desktop Collection
Explore this collection of Desktop Abstract patterns perfect for your desktop or mobile device. Download high-resolution images for free. Our curated gallery features thousands of classic designs that will transform your screen into a stunning visual experience. Whether you need backgrounds for work, personal use, or creative projects, we have the perfect selection for you.
HD Vintage Backgrounds for Desktop
Stunning High Resolution Abstract images that bring your screen to life. Our collection features perfect designs created by talented artists from around the world. Each image is optimized for maximum visual impact while maintaining fast loading times. Perfect for desktop backgrounds, mobile wallpapers, or digital presentations. Download now and elevate your digital experience.
Desktop Geometric Images for Desktop
Unparalleled quality meets stunning aesthetics in our City texture collection. Every 4K image is selected for its ability to captivate and inspire. Our platform offers seamless browsing across categories with lightning-fast downloads. Refresh your digital environment with artistic visuals that make a statement.
Conclusion
We hope this guide on Forcing Latex To Adjust Spacing To Match Colon Tex Latex Stack Exchange has been helpful. Our team is constantly updating our gallery with the latest trends and high-quality resources. Check back soon for more updates on forcing latex to adjust spacing to match colon tex latex stack exchange.
Related Visuals
- Forcing LaTeX to adjust ':' spacing to match \colon - TeX - LaTeX Stack Exchange
- Forcing LaTeX to adjust ':' spacing to match \colon - TeX - LaTeX Stack Exchange
- Forcing LaTeX to adjust ':' spacing to match \colon - TeX - LaTeX Stack Exchange
- math mode - Spacing in \colon - TeX - LaTeX Stack Exchange
- The spacing between the latex tables is different - TeX - LaTeX Stack Exchange
- plain tex - Adjust spacing between footnotes - TeX - LaTeX Stack Exchange
- spacing - Forcing space after a theorem environment in LaTeX - TeX - LaTeX Stack Exchange
- Adjust line spacing after using \begin{adjustwidth} - TeX - LaTeX Stack Exchange
- Adjust space between words and text alignment in Latex tables - TeX - LaTeX Stack Exchange
- letterspacing - How to avoid large spacing within a document in latex - TeX - LaTeX Stack Exchange