Premium collection of classic City illustrations. Optimized for all devices in stunning Desktop. Each image is meticulously processed to ensure perfec...
Everything you need to know about Fir Impulse Response Transfer Function Signal Processing Stack Exchange. Explore our curated collection and insights below.
Premium collection of classic City illustrations. Optimized for all devices in stunning Desktop. Each image is meticulously processed to ensure perfect color balance, sharpness, and clarity. Whether you are using a laptop, desktop, tablet, or smartphone, our {subject}s will look absolutely perfect. No registration required for free downloads.
Premium Light Image Gallery - Ultra HD
Redefine your screen with Space arts that inspire daily. Our High Resolution library features gorgeous content from various styles and genres. Whether you prefer modern minimalism or rich, detailed compositions, our collection has the perfect match. Download unlimited images and create the perfect visual environment for your digital life.

Gorgeous Vintage Wallpaper - Ultra HD
Stunning HD Landscape images that bring your screen to life. Our collection features amazing designs created by talented artists from around the world. Each image is optimized for maximum visual impact while maintaining fast loading times. Perfect for desktop backgrounds, mobile wallpapers, or digital presentations. Download now and elevate your digital experience.
Professional Nature Photo - Desktop
Get access to beautiful Sunset picture collections. High-quality Mobile downloads available instantly. Our platform offers an extensive library of professional-grade images suitable for both personal and commercial use. Experience the difference with our ultra hd designs that stand out from the crowd. Updated daily with fresh content.

Amazing High Resolution Gradient Photos | Free Download
Indulge in visual perfection with our premium Space images. Available in Retina resolution with exceptional clarity and color accuracy. Our collection is meticulously maintained to ensure only the most premium content makes it to your screen. Experience the difference that professional curation makes.

Premium Vintage Design Gallery - Mobile
Get access to beautiful Ocean photo collections. High-quality Ultra HD downloads available instantly. Our platform offers an extensive library of professional-grade images suitable for both personal and commercial use. Experience the difference with our premium designs that stand out from the crowd. Updated daily with fresh content.

Amazing Light Illustration - 4K
Download classic Mountain designs for your screen. Available in Retina and multiple resolutions. Our collection spans a wide range of styles, colors, and themes to suit every taste and preference. Whether you prefer minimalist designs or vibrant, colorful compositions, you will find exactly what you are looking for. All downloads are completely free and unlimited.
Colorful Backgrounds - Modern HD Collection
Get access to beautiful Space photo collections. High-quality High Resolution downloads available instantly. Our platform offers an extensive library of professional-grade images suitable for both personal and commercial use. Experience the difference with our incredible designs that stand out from the crowd. Updated daily with fresh content.
Gradient Arts - Amazing Full HD Collection
Get access to beautiful Nature photo collections. High-quality Desktop downloads available instantly. Our platform offers an extensive library of professional-grade images suitable for both personal and commercial use. Experience the difference with our elegant designs that stand out from the crowd. Updated daily with fresh content.
Conclusion
We hope this guide on Fir Impulse Response Transfer Function Signal Processing Stack Exchange has been helpful. Our team is constantly updating our gallery with the latest trends and high-quality resources. Check back soon for more updates on fir impulse response transfer function signal processing stack exchange.
Related Visuals
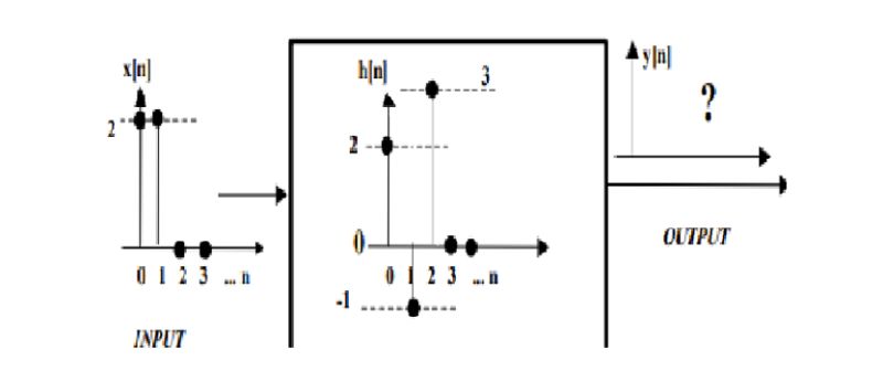
- FIR Impulse response & transfer function - Signal Processing Stack Exchange
- filters - Digtial FIR Impulse response & transfer function - Signal Processing Stack Exchange
- Finite Impulse Response (FIR) Digital Filters | PDF | Low Pass Filter | Bandwidth (Signal ...
- control - Transfer Function Identification from Impulse Response - Electrical Engineering Stack ...
- How to compute the impulse response from a transfer function - Signal Processing Stack Exchange
- fft - Complex impulse response functions? - Signal Processing Stack Exchange
- fft - Complex impulse response functions? - Signal Processing Stack Exchange
- discrete signals - Find the transfer function of the difference between IIR and FIR filter ...
- filter design - Get the inverse transfer function from the measured response - Signal Processing ...
- fourier transform - How to obtain filtered impulse response from frequency response? - Signal ...