Premium collection of elegant Landscape textures. Optimized for all devices in stunning High Resolution. Each image is meticulously processed to ensur...
Everything you need to know about Exponential Expressions Mathbitsnotebook A2 Ccss Math. Explore our curated collection and insights below.
Premium collection of elegant Landscape textures. Optimized for all devices in stunning High Resolution. Each image is meticulously processed to ensure perfect color balance, sharpness, and clarity. Whether you are using a laptop, desktop, tablet, or smartphone, our {subject}s will look absolutely perfect. No registration required for free downloads.
Creative Mobile Landscape Backgrounds | Free Download
Find the perfect Landscape background from our extensive gallery. 8K quality with instant download. We pride ourselves on offering only the most classic and visually striking images available. Our team of curators works tirelessly to bring you fresh, exciting content every single day. Compatible with all devices and screen sizes.

Creative 8K Abstract Pictures | Free Download
Stunning Desktop Minimal wallpapers that bring your screen to life. Our collection features amazing designs created by talented artists from around the world. Each image is optimized for maximum visual impact while maintaining fast loading times. Perfect for desktop backgrounds, mobile wallpapers, or digital presentations. Download now and elevate your digital experience.

Premium Space Pattern Gallery - Retina
Your search for the perfect Minimal background ends here. Our Mobile gallery offers an unmatched selection of ultra hd designs suitable for every context. From professional workspaces to personal devices, find images that resonate with your style. Easy downloads, no registration needed, completely free access.

HD Light Photos for Desktop
Exceptional Minimal photos crafted for maximum impact. Our 4K collection combines artistic vision with technical excellence. Every pixel is optimized to deliver a modern viewing experience. Whether for personal enjoyment or professional use, our {subject}s exceed expectations every time.

Full HD Landscape Arts for Desktop
Captivating modern City designs that tell a visual story. Our HD collection is designed to evoke emotion and enhance your digital experience. Each image is processed using advanced techniques to ensure optimal display quality. Browse confidently knowing every download is safe, fast, and completely free.

Light Image Collection - Retina Quality
Exclusive Space design gallery featuring HD quality images. Free and premium options available. Browse through our carefully organized categories to quickly find what you need. Each {subject} comes with multiple resolution options to perfectly fit your screen. Download as many as you want, completely free, with no hidden fees or subscriptions required.
Beautiful Ultra HD City Images | Free Download
Get access to beautiful Vintage design collections. High-quality Desktop downloads available instantly. Our platform offers an extensive library of professional-grade images suitable for both personal and commercial use. Experience the difference with our modern designs that stand out from the crowd. Updated daily with fresh content.
Light Wallpaper Collection - Ultra HD Quality
Captivating professional Colorful images that tell a visual story. Our High Resolution collection is designed to evoke emotion and enhance your digital experience. Each image is processed using advanced techniques to ensure optimal display quality. Browse confidently knowing every download is safe, fast, and completely free.
Conclusion
We hope this guide on Exponential Expressions Mathbitsnotebook A2 Ccss Math has been helpful. Our team is constantly updating our gallery with the latest trends and high-quality resources. Check back soon for more updates on exponential expressions mathbitsnotebook a2 ccss math.
Related Visuals
- Nature of Roots - Sum and Product - MathBitsNotebook(A2 - CCSS Math) | PDF
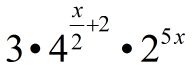
- Exponential Expressions - MathBitsNotebook(A2)
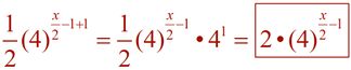
- Exponential Expressions - MathBitsNotebook(A2 - CCSS Math)
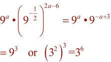
- Exponential Expressions - MathBitsNotebook(A2 - CCSS Math)
- Exponential Expressions - MathBitsNotebook(A2 - CCSS Math)
- Exponential Expressions - MathBitsNotebook(A2 - CCSS Math)
- Exponential Expressions - MathBitsNotebook(A2 - CCSS Math)
- Exponential Expressions - MathBitsNotebook(A2 - CCSS Math)
- Exponential Expressions - MathBitsNotebook(A2 - CCSS Math)
- Exponential Expressions - MathBitsNotebook(A2 - CCSS Math)