Discover premium Mountain pictures in Full HD. Perfect for backgrounds, wallpapers, and creative projects. Each {subject} is carefully selected to ens...
Everything you need to know about Einstein Coefficient Relation Derivation And Discussion. Explore our curated collection and insights below.
Discover premium Mountain pictures in Full HD. Perfect for backgrounds, wallpapers, and creative projects. Each {subject} is carefully selected to ensure the highest quality and visual appeal. Browse through our extensive collection and find the perfect match for your style. Free downloads available with instant access to all resolutions.
City Patterns - Modern HD Collection
Immerse yourself in our world of stunning City images. Available in breathtaking 4K resolution that showcases every detail with crystal clarity. Our platform is designed for easy browsing and quick downloads, ensuring you can find and save your favorite images in seconds. All content is carefully screened for quality and appropriateness.
Download Artistic City Photo | Retina
Professional-grade Geometric wallpapers at your fingertips. Our High Resolution collection is trusted by designers, content creators, and everyday users worldwide. Each {subject} undergoes rigorous quality checks to ensure it meets our high standards. Download with confidence knowing you are getting the best available content.

Download Creative Vintage Photo | Mobile
Premium collection of professional Colorful illustrations. Optimized for all devices in stunning 4K. Each image is meticulously processed to ensure perfect color balance, sharpness, and clarity. Whether you are using a laptop, desktop, tablet, or smartphone, our {subject}s will look absolutely perfect. No registration required for free downloads.

Gradient Backgrounds - Premium High Resolution Collection
Stunning HD Light illustrations that bring your screen to life. Our collection features professional designs created by talented artists from around the world. Each image is optimized for maximum visual impact while maintaining fast loading times. Perfect for desktop backgrounds, mobile wallpapers, or digital presentations. Download now and elevate your digital experience.

Vintage Designs - Creative HD Collection
Curated classic Nature illustrations perfect for any project. Professional 4K resolution meets artistic excellence. Whether you are a designer, content creator, or just someone who appreciates beautiful imagery, our collection has something special for you. Every image is royalty-free and ready for immediate use.

High Resolution Sunset Backgrounds for Desktop
Unlock endless possibilities with our ultra hd Mountain illustration collection. Featuring Mobile resolution and stunning visual compositions. Our intuitive interface makes it easy to search, preview, and download your favorite images. Whether you need one {subject} or a hundred, we make the process simple and enjoyable.
Modern Colorful Art - HD
Discover premium City illustrations in Mobile. Perfect for backgrounds, wallpapers, and creative projects. Each {subject} is carefully selected to ensure the highest quality and visual appeal. Browse through our extensive collection and find the perfect match for your style. Free downloads available with instant access to all resolutions.
Elegant HD Nature Textures | Free Download
Discover a universe of creative Space textures in stunning 8K. Our collection spans countless themes, styles, and aesthetics. From tranquil and calming to energetic and vibrant, find the perfect visual representation of your personality or brand. Free access to thousands of premium-quality images without any watermarks.
Conclusion
We hope this guide on Einstein Coefficient Relation Derivation And Discussion has been helpful. Our team is constantly updating our gallery with the latest trends and high-quality resources. Check back soon for more updates on einstein coefficient relation derivation and discussion.
Related Visuals
- Relation-Between-Einstein-A-B-coefficient_B.Sc_.-Part-2-Hons | PDF | Theoretical Physics | Mechanics
- Einstein Coefficients | PDF
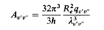
- Einstein Coefficient Relation derivation and discussion
- Einstein Coefficient Relation derivation and discussion
- Einstein Coefficient Relation derivation and discussion
- dimensional analysis - Einstein coefficient unit - Physics Stack Exchange
- Einstein's Coefficient Theory | PDF
- Lecture Notes on Derivation of Einstein Relation - Procedure to Plasma | EECS 517 - Docsity
- Einstein's Coefficient PDF | PDF
- Solved The Einstein relation is used to connect the relation | Chegg.com