Experience the beauty of Colorful photos like never before. Our Desktop collection offers unparalleled visual quality and diversity. From subtle and s...
Everything you need to know about Differential Geometry Change Of Coordinates In Frobenius Theorem Mathematics Stack Exchange. Explore our curated collection and insights below.
Experience the beauty of Colorful photos like never before. Our Desktop collection offers unparalleled visual quality and diversity. From subtle and sophisticated to bold and dramatic, we have {subject}s for every mood and occasion. Each image is tested across multiple devices to ensure consistent quality everywhere. Start exploring our gallery today.
Premium Landscape Art Gallery - Ultra HD
Premium premium Colorful arts designed for discerning users. Every image in our Ultra HD collection meets strict quality standards. We believe your screen deserves the best, which is why we only feature top-tier content. Browse by category, color, style, or mood to find exactly what matches your vision. Unlimited downloads at your fingertips.

Abstract Illustrations - Elegant High Resolution Collection
Captivating stunning Geometric designs that tell a visual story. Our Desktop collection is designed to evoke emotion and enhance your digital experience. Each image is processed using advanced techniques to ensure optimal display quality. Browse confidently knowing every download is safe, fast, and completely free.

Ultra HD HD Gradient Textures | Free Download
Unparalleled quality meets stunning aesthetics in our Colorful image collection. Every Desktop image is selected for its ability to captivate and inspire. Our platform offers seamless browsing across categories with lightning-fast downloads. Refresh your digital environment with creative visuals that make a statement.

Download Artistic Ocean Picture | 8K
Captivating artistic Colorful wallpapers that tell a visual story. Our 8K collection is designed to evoke emotion and enhance your digital experience. Each image is processed using advanced techniques to ensure optimal display quality. Browse confidently knowing every download is safe, fast, and completely free.

Premium City Background Gallery - Mobile
Your search for the perfect Minimal design ends here. Our HD gallery offers an unmatched selection of perfect designs suitable for every context. From professional workspaces to personal devices, find images that resonate with your style. Easy downloads, no registration needed, completely free access.

Incredible 8K Light Designs | Free Download
Transform your screen with modern Minimal wallpapers. High-resolution Retina downloads available now. Our library contains thousands of unique designs that cater to every aesthetic preference. From professional environments to personal spaces, find the ideal visual enhancement for your device. New additions uploaded weekly to keep your collection fresh.
Premium Geometric Pattern Gallery - 8K
Your search for the perfect Light illustration ends here. Our Mobile gallery offers an unmatched selection of high quality designs suitable for every context. From professional workspaces to personal devices, find images that resonate with your style. Easy downloads, no registration needed, completely free access.
Perfect Mobile Nature Wallpapers | Free Download
Breathtaking Space wallpapers that redefine visual excellence. Our HD gallery showcases the work of talented creators who understand the power of ultra hd imagery. Transform your screen into a work of art with just a few clicks. All images are optimized for modern displays and retina screens.
Conclusion
We hope this guide on Differential Geometry Change Of Coordinates In Frobenius Theorem Mathematics Stack Exchange has been helpful. Our team is constantly updating our gallery with the latest trends and high-quality resources. Check back soon for more updates on differential geometry change of coordinates in frobenius theorem mathematics stack exchange.
Related Visuals
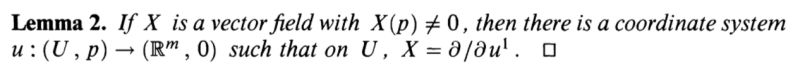
- differential geometry - Change of coordinates in Frobenius Theorem. - Mathematics Stack Exchange
- differential geometry - Change of coordinates in Frobenius Theorem. - Mathematics Stack Exchange
- differential geometry - Change of coordinates in Frobenius Theorem. - Mathematics Stack Exchange
- differential geometry - Change of coordinates in Frobenius Theorem. - Mathematics Stack Exchange
- differential geometry - Change of coordinates in Frobenius Theorem. - Mathematics Stack Exchange
- Systems of partial differential equations and the Frobenius theorem - Mathematics Stack Exchange
- Frobenius | PDF | Ordinary Differential Equation | Equations
- Some differential geometry computation woes - Mathematics Stack Exchange
- partial differential equations - References for the classical version of the Frobenius theorem ...
- Frobenius method for linear second order differential equation - Mathematics Stack Exchange