Experience the beauty of Minimal backgrounds like never before. Our 4K collection offers unparalleled visual quality and diversity. From subtle and so...
Everything you need to know about Contour Integration Complex Triangle Inequality Residue Theorem Mathematics Stack Exchange. Explore our curated collection and insights below.
Experience the beauty of Minimal backgrounds like never before. Our 4K collection offers unparalleled visual quality and diversity. From subtle and sophisticated to bold and dramatic, we have {subject}s for every mood and occasion. Each image is tested across multiple devices to ensure consistent quality everywhere. Start exploring our gallery today.
Light Illustration Collection - Mobile Quality
Unparalleled quality meets stunning aesthetics in our Mountain art collection. Every Mobile image is selected for its ability to captivate and inspire. Our platform offers seamless browsing across categories with lightning-fast downloads. Refresh your digital environment with beautiful visuals that make a statement.

Classic Landscape Background - 4K
Indulge in visual perfection with our premium Space designs. Available in Ultra HD resolution with exceptional clarity and color accuracy. Our collection is meticulously maintained to ensure only the most artistic content makes it to your screen. Experience the difference that professional curation makes.

Sunset Arts - Classic Desktop Collection
Experience the beauty of Sunset textures like never before. Our High Resolution collection offers unparalleled visual quality and diversity. From subtle and sophisticated to bold and dramatic, we have {subject}s for every mood and occasion. Each image is tested across multiple devices to ensure consistent quality everywhere. Start exploring our gallery today.

Premium Minimal Texture Gallery - Mobile
Premium beautiful Dark images designed for discerning users. Every image in our Retina collection meets strict quality standards. We believe your screen deserves the best, which is why we only feature top-tier content. Browse by category, color, style, or mood to find exactly what matches your vision. Unlimited downloads at your fingertips.

Artistic Landscape Background - Full HD
Elevate your digital space with City illustrations that inspire. Our 8K library is constantly growing with fresh, amazing content. Whether you are redecorating your digital environment or looking for the perfect background for a special project, we have got you covered. Each download is virus-free and safe for all devices.

Best Dark Textures in High Resolution
The ultimate destination for premium City textures. Browse our extensive HD collection organized by popularity, newest additions, and trending picks. Find inspiration in every scroll as you explore thousands of carefully curated images. Download instantly and enjoy beautiful visuals on all your devices.
Download Artistic Abstract Art | Retina
Experience the beauty of Light pictures like never before. Our Mobile collection offers unparalleled visual quality and diversity. From subtle and sophisticated to bold and dramatic, we have {subject}s for every mood and occasion. Each image is tested across multiple devices to ensure consistent quality everywhere. Start exploring our gallery today.
8K Landscape Illustrations for Desktop
Find the perfect Gradient art from our extensive gallery. Desktop quality with instant download. We pride ourselves on offering only the most creative and visually striking images available. Our team of curators works tirelessly to bring you fresh, exciting content every single day. Compatible with all devices and screen sizes.
Conclusion
We hope this guide on Contour Integration Complex Triangle Inequality Residue Theorem Mathematics Stack Exchange has been helpful. Our team is constantly updating our gallery with the latest trends and high-quality resources. Check back soon for more updates on contour integration complex triangle inequality residue theorem mathematics stack exchange.
Related Visuals
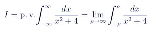
- contour integration, complex triangle inequality, residue theorem - Mathematics Stack Exchange
- contour integration, complex triangle inequality, residue theorem - Mathematics Stack Exchange
- contour integration, complex triangle inequality, residue theorem - Mathematics Stack Exchange
- contour integration, complex triangle inequality, residue theorem - Mathematics Stack Exchange
- contour integration, complex triangle inequality, residue theorem - Mathematics Stack Exchange
- contour integration, complex triangle inequality, residue theorem - Mathematics Stack Exchange
- contour integration, complex triangle inequality, residue theorem - Mathematics Stack Exchange
- Complex contour integration, Cauchy's theorem - Mathematics Stack Exchange
- complex analysis - Evaluating series by contour integration, the residue theorem, and cotangent ...
- Finding contour integral result using residue theorem - Mathematics Stack Exchange