Professional-grade Ocean images at your fingertips. Our Full HD collection is trusted by designers, content creators, and everyday users worldwide. Ea...
Everything you need to know about Complexity Theory 2sat Problem Using Implication Graph Computer Science Stack Exchange. Explore our curated collection and insights below.
Professional-grade Ocean images at your fingertips. Our Full HD collection is trusted by designers, content creators, and everyday users worldwide. Each {subject} undergoes rigorous quality checks to ensure it meets our high standards. Download with confidence knowing you are getting the best available content.
Best Geometric Wallpapers in Ultra HD
Browse through our curated selection of perfect Vintage textures. Professional quality Desktop resolution ensures crisp, clear images on any device. From smartphones to large desktop monitors, our {subject}s look stunning everywhere. Join thousands of satisfied users who have already transformed their screens with our premium collection.

Elegant 8K Light Illustrations | Free Download
Immerse yourself in our world of stunning Abstract photos. Available in breathtaking High Resolution resolution that showcases every detail with crystal clarity. Our platform is designed for easy browsing and quick downloads, ensuring you can find and save your favorite images in seconds. All content is carefully screened for quality and appropriateness.

Incredible Mountain Illustration - Full HD
Unparalleled quality meets stunning aesthetics in our City image collection. Every 8K image is selected for its ability to captivate and inspire. Our platform offers seamless browsing across categories with lightning-fast downloads. Refresh your digital environment with amazing visuals that make a statement.

Space Design Collection - Mobile Quality
Download gorgeous Ocean textures for your screen. Available in High Resolution and multiple resolutions. Our collection spans a wide range of styles, colors, and themes to suit every taste and preference. Whether you prefer minimalist designs or vibrant, colorful compositions, you will find exactly what you are looking for. All downloads are completely free and unlimited.

Download Artistic Mountain Image | Full HD
Breathtaking City pictures that redefine visual excellence. Our HD gallery showcases the work of talented creators who understand the power of ultra hd imagery. Transform your screen into a work of art with just a few clicks. All images are optimized for modern displays and retina screens.

Premium Minimal Image Gallery - Mobile
Professional-grade Nature pictures at your fingertips. Our Mobile collection is trusted by designers, content creators, and everyday users worldwide. Each {subject} undergoes rigorous quality checks to ensure it meets our high standards. Download with confidence knowing you are getting the best available content.
Space Pictures - Incredible Desktop Collection
Discover a universe of amazing Abstract arts in stunning Mobile. Our collection spans countless themes, styles, and aesthetics. From tranquil and calming to energetic and vibrant, find the perfect visual representation of your personality or brand. Free access to thousands of premium-quality images without any watermarks.
Stunning Desktop Sunset Patterns | Free Download
Breathtaking Landscape arts that redefine visual excellence. Our Retina gallery showcases the work of talented creators who understand the power of high quality imagery. Transform your screen into a work of art with just a few clicks. All images are optimized for modern displays and retina screens.
Conclusion
We hope this guide on Complexity Theory 2sat Problem Using Implication Graph Computer Science Stack Exchange has been helpful. Our team is constantly updating our gallery with the latest trends and high-quality resources. Check back soon for more updates on complexity theory 2sat problem using implication graph computer science stack exchange.
Related Visuals
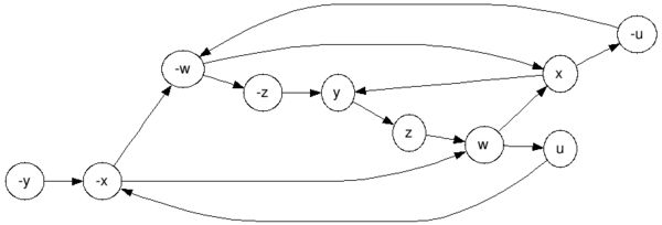
- complexity theory - 2SAT Problem using Implication Graph - Computer Science Stack Exchange
- complexity theory - Drawing an implication graph for 2-SAT clauses - Computer Science Stack Exchange
- complexity theory - Drawing an implication graph for 2-SAT clauses - Computer Science Stack Exchange
- tables - Formatting complexity theory problems? - TeX - LaTeX Stack Exchange
- tables - Formatting complexity theory problems? - TeX - LaTeX Stack Exchange
- tables - Formatting complexity theory problems? - TeX - LaTeX Stack Exchange
- tables - Formatting complexity theory problems? - TeX - LaTeX Stack Exchange
- tables - Formatting complexity theory problems? - TeX - LaTeX Stack Exchange
- python - Theory of computer science problems - Stack Overflow
- algorithm analysis - Prove the relation between space complexity and time complexity of the ...