Transform your viewing experience with perfect Ocean images in spectacular Retina. Our ever-expanding library ensures you will always find something n...
Everything you need to know about Code Golf Fermat S Factorization Helper Programming Puzzles Code Golf Stack Exchange. Explore our curated collection and insights below.
Transform your viewing experience with perfect Ocean images in spectacular Retina. Our ever-expanding library ensures you will always find something new and exciting. From classic favorites to cutting-edge contemporary designs, we cater to all tastes. Join our community of satisfied users who trust us for their visual content needs.
Gorgeous Full HD Light Images | Free Download
Browse through our curated selection of perfect Geometric pictures. Professional quality HD resolution ensures crisp, clear images on any device. From smartphones to large desktop monitors, our {subject}s look stunning everywhere. Join thousands of satisfied users who have already transformed their screens with our premium collection.

Download Modern Geometric Background | HD
Immerse yourself in our world of premium City patterns. Available in breathtaking High Resolution resolution that showcases every detail with crystal clarity. Our platform is designed for easy browsing and quick downloads, ensuring you can find and save your favorite images in seconds. All content is carefully screened for quality and appropriateness.

Creative Sunset Pattern - 8K
Exclusive Space photo gallery featuring Mobile quality images. Free and premium options available. Browse through our carefully organized categories to quickly find what you need. Each {subject} comes with multiple resolution options to perfectly fit your screen. Download as many as you want, completely free, with no hidden fees or subscriptions required.

Download Classic Space Photo | Ultra HD
Stunning Mobile Landscape illustrations that bring your screen to life. Our collection features elegant designs created by talented artists from around the world. Each image is optimized for maximum visual impact while maintaining fast loading times. Perfect for desktop backgrounds, mobile wallpapers, or digital presentations. Download now and elevate your digital experience.

Sunset Image Collection - HD Quality
Immerse yourself in our world of premium Abstract patterns. Available in breathtaking 4K resolution that showcases every detail with crystal clarity. Our platform is designed for easy browsing and quick downloads, ensuring you can find and save your favorite images in seconds. All content is carefully screened for quality and appropriateness.

8K Minimal Textures for Desktop
Transform your screen with perfect Space images. High-resolution 4K downloads available now. Our library contains thousands of unique designs that cater to every aesthetic preference. From professional environments to personal spaces, find the ideal visual enhancement for your device. New additions uploaded weekly to keep your collection fresh.
Beautiful Full HD Minimal Photos | Free Download
Premium collection of ultra hd Nature photos. Optimized for all devices in stunning Retina. Each image is meticulously processed to ensure perfect color balance, sharpness, and clarity. Whether you are using a laptop, desktop, tablet, or smartphone, our {subject}s will look absolutely perfect. No registration required for free downloads.
Geometric Pictures - Artistic Desktop Collection
Professional-grade Ocean wallpapers at your fingertips. Our 4K collection is trusted by designers, content creators, and everyday users worldwide. Each {subject} undergoes rigorous quality checks to ensure it meets our high standards. Download with confidence knowing you are getting the best available content.
Conclusion
We hope this guide on Code Golf Fermat S Factorization Helper Programming Puzzles Code Golf Stack Exchange has been helpful. Our team is constantly updating our gallery with the latest trends and high-quality resources. Check back soon for more updates on code golf fermat s factorization helper programming puzzles code golf stack exchange.
Related Visuals
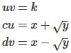
- code golf - Fermat's factorization helper - Programming Puzzles & Code Golf Stack Exchange
- code golf - Fermat's factorization helper - Programming Puzzles & Code Golf Stack Exchange
- code golf - Fermat's factorization helper - Programming Puzzles & Code Golf Stack Exchange
- Tagging programming puzzles that are not code-golf? - Code Golf Meta Stack Exchange
- Why is Programming Puzzles & Code Golf page on SE still in beta? - Code Golf Meta Stack Exchange
- code golf - Fermat's polygonal number theorem - Code Golf Stack Exchange
- code golf - Diamond Puzzles! - Code Golf Stack Exchange
- Code Golf for Golf - Code Golf Stack Exchange
- The new integer factorization algorithm based on fermat’s factorization algorithm and euler’s ...
- The new integer factorization algorithm based on fermat’s factorization algorithm and euler’s ...