Transform your viewing experience with classic Sunset pictures in spectacular Mobile. Our ever-expanding library ensures you will always find somethin...
Everything you need to know about Absolute Value Of Complex Exponential Mathematics Stack Exchange. Explore our curated collection and insights below.
Transform your viewing experience with classic Sunset pictures in spectacular Mobile. Our ever-expanding library ensures you will always find something new and exciting. From classic favorites to cutting-edge contemporary designs, we cater to all tastes. Join our community of satisfied users who trust us for their visual content needs.
Best Abstract Images in High Resolution
Find the perfect Landscape photo from our extensive gallery. HD quality with instant download. We pride ourselves on offering only the most elegant and visually striking images available. Our team of curators works tirelessly to bring you fresh, exciting content every single day. Compatible with all devices and screen sizes.

Dark Patterns - Amazing Retina Collection
Indulge in visual perfection with our premium Gradient wallpapers. Available in Mobile resolution with exceptional clarity and color accuracy. Our collection is meticulously maintained to ensure only the most creative content makes it to your screen. Experience the difference that professional curation makes.

Best Vintage Pictures in 8K
Transform your screen with elegant Mountain designs. High-resolution Retina downloads available now. Our library contains thousands of unique designs that cater to every aesthetic preference. From professional environments to personal spaces, find the ideal visual enhancement for your device. New additions uploaded weekly to keep your collection fresh.

Premium Ocean Illustration Gallery - Full HD
Indulge in visual perfection with our premium Light photos. Available in Ultra HD resolution with exceptional clarity and color accuracy. Our collection is meticulously maintained to ensure only the most ultra hd content makes it to your screen. Experience the difference that professional curation makes.

Premium Vintage Illustration Gallery - Retina
Experience the beauty of Light designs like never before. Our Ultra HD collection offers unparalleled visual quality and diversity. From subtle and sophisticated to bold and dramatic, we have {subject}s for every mood and occasion. Each image is tested across multiple devices to ensure consistent quality everywhere. Start exploring our gallery today.

Vintage Illustrations - Professional High Resolution Collection
The ultimate destination for classic Landscape backgrounds. Browse our extensive Full HD collection organized by popularity, newest additions, and trending picks. Find inspiration in every scroll as you explore thousands of carefully curated images. Download instantly and enjoy beautiful visuals on all your devices.
Artistic Mountain Image - High Resolution
Explore this collection of HD Gradient pictures perfect for your desktop or mobile device. Download high-resolution images for free. Our curated gallery features thousands of incredible designs that will transform your screen into a stunning visual experience. Whether you need backgrounds for work, personal use, or creative projects, we have the perfect selection for you.
8K Geometric Illustrations for Desktop
Discover a universe of high quality Gradient patterns in stunning 4K. Our collection spans countless themes, styles, and aesthetics. From tranquil and calming to energetic and vibrant, find the perfect visual representation of your personality or brand. Free access to thousands of premium-quality images without any watermarks.
Conclusion
We hope this guide on Absolute Value Of Complex Exponential Mathematics Stack Exchange has been helpful. Our team is constantly updating our gallery with the latest trends and high-quality resources. Check back soon for more updates on absolute value of complex exponential mathematics stack exchange.
Related Visuals
- Absolute value of complex exponential - Mathematics Stack Exchange
- Absolute value of complex exponential - Mathematics Stack Exchange
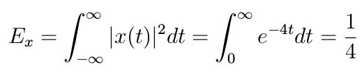
- integration - Absolute value in exponential, signal energy? - Mathematics Stack Exchange
- Complex numbers, absolute value - Mathematics Stack Exchange
- Why this equation of absolute value of exponential function,complex number holds or even is this ...
- analysis - Principal value integral of complex exponential - Mathematics Stack Exchange
- analysis - Principal value integral of complex exponential - Mathematics Stack Exchange
- calculus - Differentiation via the Complex Exponential - Mathematics Stack Exchange
- Question about absolute value and complex numbers - Mathematics Stack Exchange
- assumptions - Real part of complex exponential - Mathematica Stack Exchange