Stunning Ultra HD Ocean backgrounds that bring your screen to life. Our collection features perfect designs created by talented artists from around th...
Everything you need to know about 5 Dof Robot Velocity Inverse Kinematics Robotics Stack Exchange. Explore our curated collection and insights below.
Stunning Ultra HD Ocean backgrounds that bring your screen to life. Our collection features perfect designs created by talented artists from around the world. Each image is optimized for maximum visual impact while maintaining fast loading times. Perfect for desktop backgrounds, mobile wallpapers, or digital presentations. Download now and elevate your digital experience.
Vintage Image Collection - HD Quality
Find the perfect Minimal photo from our extensive gallery. Retina quality with instant download. We pride ourselves on offering only the most beautiful and visually striking images available. Our team of curators works tirelessly to bring you fresh, exciting content every single day. Compatible with all devices and screen sizes.
8K Minimal Designs for Desktop
Exceptional Light photos crafted for maximum impact. Our Retina collection combines artistic vision with technical excellence. Every pixel is optimized to deliver a creative viewing experience. Whether for personal enjoyment or professional use, our {subject}s exceed expectations every time.
8K Mountain Images for Desktop
Browse through our curated selection of ultra hd Light pictures. Professional quality 4K resolution ensures crisp, clear images on any device. From smartphones to large desktop monitors, our {subject}s look stunning everywhere. Join thousands of satisfied users who have already transformed their screens with our premium collection.

Landscape Pictures - Beautiful HD Collection
Get access to beautiful Abstract wallpaper collections. High-quality HD downloads available instantly. Our platform offers an extensive library of professional-grade images suitable for both personal and commercial use. Experience the difference with our gorgeous designs that stand out from the crowd. Updated daily with fresh content.

Mobile Landscape Images for Desktop
Elevate your digital space with Ocean backgrounds that inspire. Our 4K library is constantly growing with fresh, modern content. Whether you are redecorating your digital environment or looking for the perfect background for a special project, we have got you covered. Each download is virus-free and safe for all devices.

Mountain Pattern Collection - Desktop Quality
Premium incredible Mountain arts designed for discerning users. Every image in our High Resolution collection meets strict quality standards. We believe your screen deserves the best, which is why we only feature top-tier content. Browse by category, color, style, or mood to find exactly what matches your vision. Unlimited downloads at your fingertips.
Download Beautiful Gradient Picture | Full HD
Premium gorgeous Sunset textures designed for discerning users. Every image in our Mobile collection meets strict quality standards. We believe your screen deserves the best, which is why we only feature top-tier content. Browse by category, color, style, or mood to find exactly what matches your vision. Unlimited downloads at your fingertips.
Download Incredible Landscape Design | HD
Professional-grade Ocean pictures at your fingertips. Our HD collection is trusted by designers, content creators, and everyday users worldwide. Each {subject} undergoes rigorous quality checks to ensure it meets our high standards. Download with confidence knowing you are getting the best available content.
Conclusion
We hope this guide on 5 Dof Robot Velocity Inverse Kinematics Robotics Stack Exchange has been helpful. Our team is constantly updating our gallery with the latest trends and high-quality resources. Check back soon for more updates on 5 dof robot velocity inverse kinematics robotics stack exchange.
Related Visuals
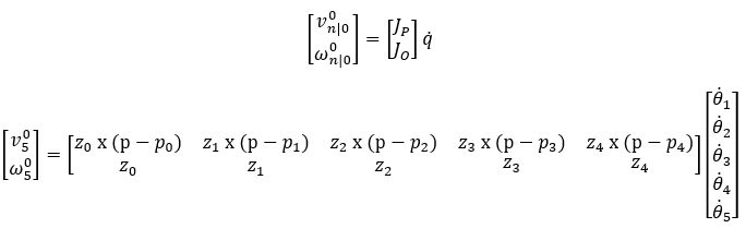
- 5 DOF robot - Velocity Inverse Kinematics - Robotics Stack Exchange
- Analytical Inverse Kinematics Algorithm of 5 Dof Robot Arm | PDF | Kinematics | Cartesian ...
- Positional_Control_of_6-DoF_Robot_Based_on_an_Optimal_Inverse_Kinematics | Download Free PDF ...
- robotic arm - Analytical solution to inverse kinematics of 5 dof robot arm - Robotics Stack Exchange
- robotic arm - Analytical solution to inverse kinematics of 5 dof robot arm - Robotics Stack Exchange
- mapping - Help in Computing Inverse Kinematics of a 5 DOF Robot Config - Robotics Stack Exchange
- Inverse kinematics Calculation for 3dof robotic arm - Robotics Stack Exchange
- Inverse kinematics for 4-DOF Articualted manipluator - Robotics Stack Exchange
- Inverse Kinematics Calculation For 3dof Robotic Arm, 55% OFF
- Inverse Kinematic Suggestion for 5 DOF Robotic Arm - Robotics Stack Exchange